Menu
Archive documents
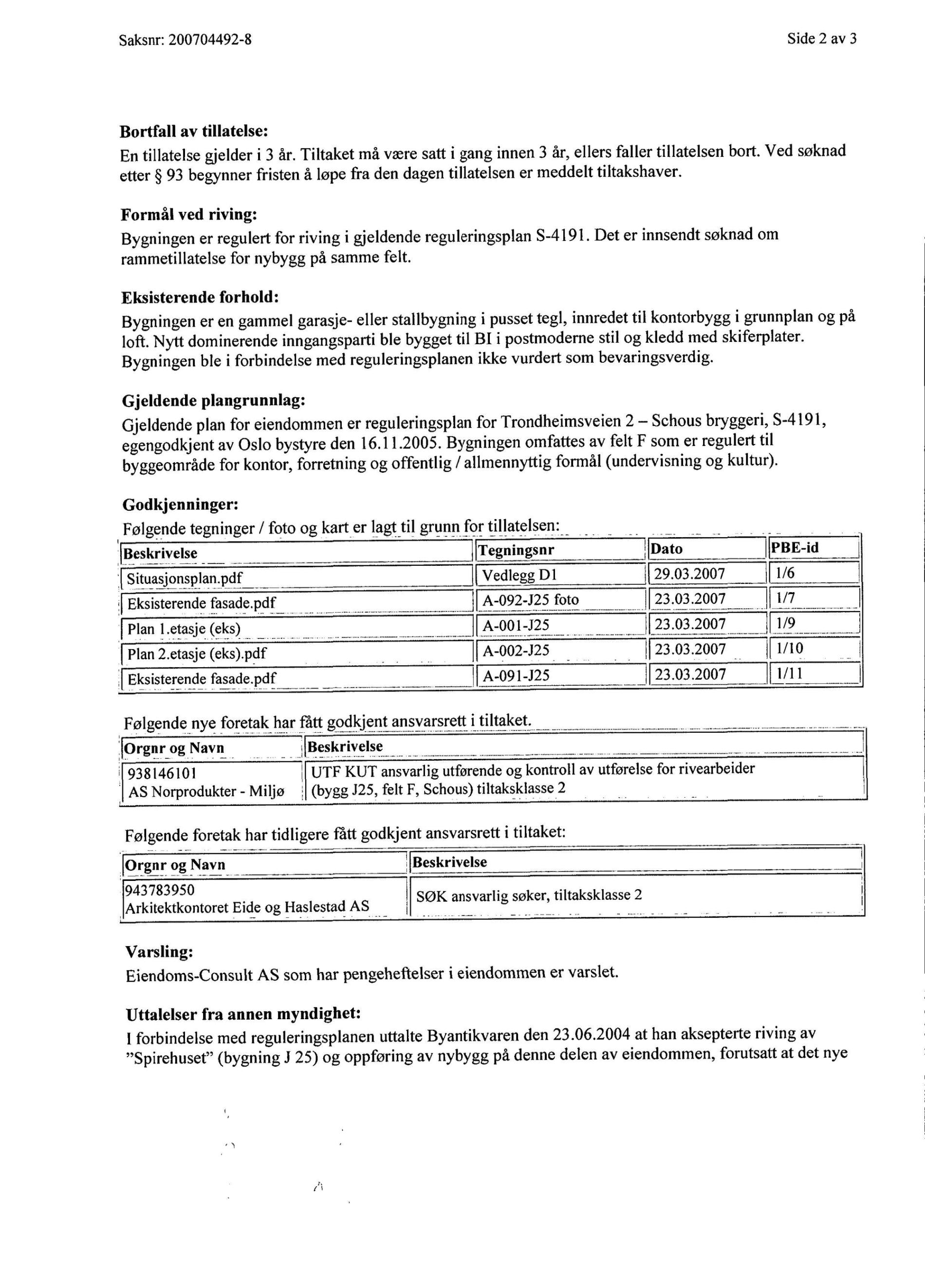
Demolition of the stable/west entrance: Acceptance from Plan og Bygg
About
Document Type
Application
Date
2008-02-26
Author
Plan- og bygningsetaten
Eide og Haslestad A/S
Source
Plan- og bygningsetaten
Archive
Directorate
URL
innsyn.pbe.oslo.kommune.no
Building
Related building(s)
Norges Markedshøgskole
1991
Design phase
Demolished
Files
Image file(s)
2008_Application for demolition_Page 1.jpg
jpg
2008_Application for demolition_Page 2.jpg
jpg
2008_Application for demolition_Page 3.jpg
jpg